您好,欢迎来到中国经济学考研网!

设为首页  |  加入收藏

二级页面顶部广告图
首页 > 数学 > 正文
2014年全国硕士研究生入学统一考试数学一试题及答案解析
时间:2017-07-14 17:18:45 来源:中国经济学考研网
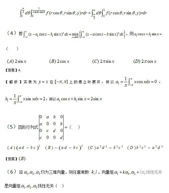
2014年全国硕士研究生入学统一考试数学一试题及答案解析2014年全国硕士研究生入学统一考试数学一试题及答案解析2014年全国硕士研究生入学统一考试数学一试题及答案解析2014年全国硕士研究生入学统一考试数学一试题及答案解析

经济类院校库

服务中心